นายกฯ กานต์ ลงพื้นที่ตรวจเยี่ยม และมอบนโยบาย การบริหารสถานศึกษาโรงเรียนในสังกัด
วันที่ 6 กุมภาพันธ์ 2568 นายกานต์ กัลป์ตินันท์ นายกองค์ […]
วันที่ 6 กุมภาพันธ์ 2568 นายกานต์ กัลป์ตินันท์ นายกองค์ […]
วันที่ 5 กุมภาพันธ์ 2568 เวลา 13.30 น. นางสาวจีรภัทร์ ส […]
วันที่ 5 กุมภาพันธ์ 2568 เวลา 13.30 น. ดร.เชษฐพงศ์ สุขป […]
วันที่ 5 กุมภาพันธ์ 2568 เวลา 10.30 น. นายกานต์ กัลป์ติ […]
วันที่ 5 กุมภาพันธ์ 2568 เวลา 14.00 น. นายประพนธ์ โชควิ […]
วันที่ 3 กุมภาพันธ์ 2568 เวลา 13.00 น. นายอภิศักดิ์ ทอง […]
วันนี้ 3 กุมภาพันธ์ 2568 เวลา 14.30 น.นางบัณฑิตา วงค์งา […]
วันที่ 3 กุมภาพันธ์ 2568 เวลา 07.30 น. นายกานต์ กัลป์ติ […]
วันที่ 2 กุมภาพันธ์ 2568 เวลา 13.00 น. ว่าที่ร้อยตรีกรก […]
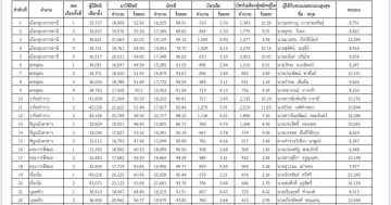
สรุปข้อมูลการใช้สิทธิเลือกตั้ง และผู้ได้รับคะแนนมากที่ส […]